Matematyka x2
internetowa pomoc w nauce
Tematy lekcji

Funkcja liniowa
Funkcja kwadratowa
Funkcja dwukwadratowa
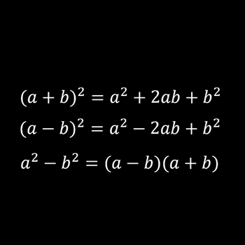
Wzory skróconego mnożenia
Funkcja hiperboliczna
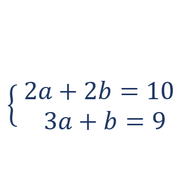
Układy równań - 2 niewiadome
Trygonometria
Ciagi